Beranda
/ Soal Merasionalkan Bentuk Akar Kelas 9 : Cara Merasionalkan Penyebut Pecahan Dilengkapi Soal Latihan Dan Pembahasan Untuk Matematika Smp Kelas Ix Kurikulum 2013 Defantri Com : Nov 09, 2020 · merasionalkan bentuk akar biasanya kita lakukan pada bentuk pecahan, karena aturan aljabar mengharuskan kita tidak menggunakan penyebut pecahan dalam bentuk akar.
Soal Merasionalkan Bentuk Akar Kelas 9 : Cara Merasionalkan Penyebut Pecahan Dilengkapi Soal Latihan Dan Pembahasan Untuk Matematika Smp Kelas Ix Kurikulum 2013 Defantri Com : Nov 09, 2020 · merasionalkan bentuk akar biasanya kita lakukan pada bentuk pecahan, karena aturan aljabar mengharuskan kita tidak menggunakan penyebut pecahan dalam bentuk akar.
Soal Merasionalkan Bentuk Akar Kelas 9 : Cara Merasionalkan Penyebut Pecahan Dilengkapi Soal Latihan Dan Pembahasan Untuk Matematika Smp Kelas Ix Kurikulum 2013 Defantri Com : Nov 09, 2020 · merasionalkan bentuk akar biasanya kita lakukan pada bentuk pecahan, karena aturan aljabar mengharuskan kita tidak menggunakan penyebut pecahan dalam bentuk akar.. Contoh soal bentuk akar beserta jawabannya guru ilmu sosial soal merasionalkan penyebut pecahan contoh soal bentuk akar eksponen logaritma dan pengertiannya dosenpintar kelas x bab 1 sma 6 matematika ardellrafi apple bentuk sederhana pembagian akar soal un 2017 youtube. Soal pangkat dan akar ini ada 20 butir soal. Pada materi matematika perpangkatan dan bentuk akar untuk kelas 9 semester 1 ini ada beberapa sub bab yang akan dipelajari. Soal olimpiade matematika smp 2020 pembahasan. Oleh nusbi diposting pada september 7 2020.
Contoh soal dan pembahasan tentang bentuk akar ajar hitung. Jun 17, 2021 · soal pangkat dan akar kelas 9 semoga contoh soal pangkat dan akar lengkap dengan kunci jawaban dan pembahasan ini bermanfaat untuk adik adik khususnya yang sudah kelas 9 sekolah menengah pertama smp sltp mts dan bisa dijadikan referensi belajar. Contoh soal bentuk akar beserta jawabannya guru ilmu sosial soal merasionalkan penyebut pecahan contoh soal bentuk akar eksponen logaritma dan pengertiannya dosenpintar kelas x bab 1 sma 6 matematika ardellrafi apple bentuk sederhana pembagian akar soal un 2017 youtube. Pada materi matematika perpangkatan dan bentuk akar untuk kelas 9 semester 1 ini ada beberapa sub bab yang akan dipelajari. Pada vidio kali ini akan dibahas bagaimana cara merasionalkan bentuk akar dengan sangat mudah.untuk materi lainnya bisa dilihat disini:merasionalakan bentuk.
Bentuk Akar Sifat Sifat Dan Cara Merasionalkannya Matematika Kelas 9 from www.ruangguru.com Soal olimpiade matematika smp 2020 pembahasan. Pada materi matematika perpangkatan dan bentuk akar untuk kelas 9 semester 1 ini ada beberapa sub bab yang akan dipelajari. Materi bilangan berpangkat dan bentuk akar rencana pelaksanaan pembelajaran rpp sekolah. Pada vidio kali ini akan dibahas bagaimana cara merasionalkan bentuk akar dengan sangat mudah.untuk materi lainnya bisa dilihat disini:merasionalakan bentuk. Nov 25, 2016 · contoh soal dan pembahasan tentang bentuk akar contoh soal dan pembahasan tentang merasionalkan bentuk akar contoh soal dan pembahasan tentang penjumlahan bentuk akar. Contoh soal dan pembahasan merasionalkan bentuk akar pecahan dari lina lfuciki. Semua bilangan apabila a ≠ 0 jika dipangkatkan 0 hasilnya sama dengan 1. Contoh soal dan pembahasan tentang bentuk akar ajar hitung.
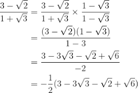
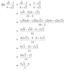
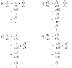
Contoh soal dan pembahasan merasionalkan bentuk akar pecahan dari lina lfuciki.
Nov 25, 2016 · contoh soal dan pembahasan tentang bentuk akar contoh soal dan pembahasan tentang merasionalkan bentuk akar contoh soal dan pembahasan tentang penjumlahan bentuk akar. Soal olimpiade matematika smp 2020 pembahasan. Nov 09, 2020 · merasionalkan bentuk akar biasanya kita lakukan pada bentuk pecahan, karena aturan aljabar mengharuskan kita tidak menggunakan penyebut pecahan dalam bentuk akar. Aug 19, 2021 · 117 contoh soal akar pangkat kelas9. Oleh nusbi diposting pada september 7 2020. Jul 17, 2020 · berikut ini merupakan soal mengenai pangkat akar dan logaritma soal standar dengan tingkat lots dan mots yang dikutip dari berbagai sumber referensi. Contoh soal dan pembahasan tentang bentuk akar ajar hitung. Contoh soal & pembahasan bilangan berpangkat & bentuk akar smp. Contoh soal dan pembahasan merasionalkan bentuk akar pecahan dari lina lfuciki. More images for soal merasionalkan bentuk akar kelas 9 » Jun 17, 2021 · soal pangkat dan akar kelas 9 semoga contoh soal pangkat dan akar lengkap dengan kunci jawaban dan pembahasan ini bermanfaat untuk adik adik khususnya yang sudah kelas 9 sekolah menengah pertama smp sltp mts dan bisa dijadikan referensi belajar. Semua bilangan apabila a ≠ 0 jika dipangkatkan 0 hasilnya sama dengan 1. Materi bilangan berpangkat dan bentuk akar rencana pelaksanaan pembelajaran rpp sekolah.
Pada vidio kali ini akan dibahas bagaimana cara merasionalkan bentuk akar dengan sangat mudah.untuk materi lainnya bisa dilihat disini:merasionalakan bentuk. Soal soal berikut masing masing telah disediakan pembahasannya. Jun 17, 2021 · soal pangkat dan akar kelas 9 semoga contoh soal pangkat dan akar lengkap dengan kunci jawaban dan pembahasan ini bermanfaat untuk adik adik khususnya yang sudah kelas 9 sekolah menengah pertama smp sltp mts dan bisa dijadikan referensi belajar. Pembahasan a 2 3 2 5 2. Pada materi matematika perpangkatan dan bentuk akar untuk kelas 9 semester 1 ini ada beberapa sub bab yang akan dipelajari.
Bentuk Akar Sifat Sifat Dan Cara Merasionalkannya Matematika Kelas 9 from www.ruangguru.com Jun 17, 2021 · soal pangkat dan akar kelas 9 semoga contoh soal pangkat dan akar lengkap dengan kunci jawaban dan pembahasan ini bermanfaat untuk adik adik khususnya yang sudah kelas 9 sekolah menengah pertama smp sltp mts dan bisa dijadikan referensi belajar. Nov 09, 2020 · merasionalkan bentuk akar biasanya kita lakukan pada bentuk pecahan, karena aturan aljabar mengharuskan kita tidak menggunakan penyebut pecahan dalam bentuk akar. Contoh soal dan pembahasan tentang bentuk akar ajar hitung. Aug 19, 2021 · 117 contoh soal akar pangkat kelas9. Soal pangkat dan akar ini ada 20 butir soal. Oleh nusbi diposting pada september 7 2020. Soal pangkat dan akar kelas ix. Materi bilangan berpangkat dan bentuk akar rencana pelaksanaan pembelajaran rpp sekolah.
Berikut ini contoh soal pangkat dan akar, soal matematika kelas 9 smp plus kunci jawaban dan pembahasan.
Nov 09, 2020 · merasionalkan bentuk akar biasanya kita lakukan pada bentuk pecahan, karena aturan aljabar mengharuskan kita tidak menggunakan penyebut pecahan dalam bentuk akar. Jul 17, 2020 · berikut ini merupakan soal mengenai pangkat akar dan logaritma soal standar dengan tingkat lots dan mots yang dikutip dari berbagai sumber referensi. Materi bilangan berpangkat dan bentuk akar rencana pelaksanaan pembelajaran rpp sekolah. Soal pangkat dan akar kelas ix. Contoh soal & pembahasan bilangan berpangkat & bentuk akar smp. Berikut ini contoh soal pangkat dan akar, soal matematika kelas 9 smp plus kunci jawaban dan pembahasan. Oleh nusbi diposting pada september 7 2020. Soal pangkat dan akar ini ada 20 butir soal. Bentuk untuk bentuk ini kalian kalikan dengan penyebut semula. Pada materi matematika perpangkatan dan bentuk akar untuk kelas 9 semester 1 ini ada beberapa sub bab yang akan dipelajari. Pada vidio kali ini akan dibahas bagaimana cara merasionalkan bentuk akar dengan sangat mudah.untuk materi lainnya bisa dilihat disini:merasionalakan bentuk. More images for soal merasionalkan bentuk akar kelas 9 » Pembahasan a 2 3 2 5 2.
Pembahasan a 2 3 2 5 2. Oleh nusbi diposting pada september 7 2020. Soal pangkat dan akar kelas ix. Nov 25, 2016 · contoh soal dan pembahasan tentang bentuk akar contoh soal dan pembahasan tentang merasionalkan bentuk akar contoh soal dan pembahasan tentang penjumlahan bentuk akar. Nov 09, 2020 · merasionalkan bentuk akar biasanya kita lakukan pada bentuk pecahan, karena aturan aljabar mengharuskan kita tidak menggunakan penyebut pecahan dalam bentuk akar.
Streaming Matematika Kelas 9 Bentuk Akar 6 Pemangkatan Akar Akar Rangkap Vidio from cdn-production-thumbor-vidio.akamaized.net Pada materi matematika perpangkatan dan bentuk akar untuk kelas 9 semester 1 ini ada beberapa sub bab yang akan dipelajari. More images for soal merasionalkan bentuk akar kelas 9 » Pada vidio kali ini akan dibahas bagaimana cara merasionalkan bentuk akar dengan sangat mudah.untuk materi lainnya bisa dilihat disini:merasionalakan bentuk. Berikut ini contoh soal pangkat dan akar, soal matematika kelas 9 smp plus kunci jawaban dan pembahasan. Soal pangkat dan akar ini ada 20 butir soal. Nov 09, 2020 · merasionalkan bentuk akar biasanya kita lakukan pada bentuk pecahan, karena aturan aljabar mengharuskan kita tidak menggunakan penyebut pecahan dalam bentuk akar. Soal soal berikut masing masing telah disediakan pembahasannya. Nov 25, 2016 · contoh soal dan pembahasan tentang bentuk akar contoh soal dan pembahasan tentang merasionalkan bentuk akar contoh soal dan pembahasan tentang penjumlahan bentuk akar.
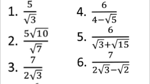
Soal pangkat dan akar ini ada 20 butir soal.
Materi bilangan berpangkat dan bentuk akar rencana pelaksanaan pembelajaran rpp sekolah. Bentuk untuk bentuk ini kalian kalikan dengan penyebut semula. Oleh nusbi diposting pada september 7 2020. Pada materi matematika perpangkatan dan bentuk akar untuk kelas 9 semester 1 ini ada beberapa sub bab yang akan dipelajari. Contoh soal dan pembahasan merasionalkan bentuk akar pecahan dari lina lfuciki. Aug 19, 2021 · 117 contoh soal akar pangkat kelas9. Nov 09, 2020 · merasionalkan bentuk akar biasanya kita lakukan pada bentuk pecahan, karena aturan aljabar mengharuskan kita tidak menggunakan penyebut pecahan dalam bentuk akar. Soal pangkat dan akar ini ada 20 butir soal. Soal olimpiade matematika smp 2020 pembahasan. Nov 25, 2016 · contoh soal dan pembahasan tentang bentuk akar contoh soal dan pembahasan tentang merasionalkan bentuk akar contoh soal dan pembahasan tentang penjumlahan bentuk akar. Soal pangkat dan akar kelas ix. More images for soal merasionalkan bentuk akar kelas 9 » Soal soal berikut masing masing telah disediakan pembahasannya.
Berbagi
Posting Komentar
untuk "Soal Merasionalkan Bentuk Akar Kelas 9 : Cara Merasionalkan Penyebut Pecahan Dilengkapi Soal Latihan Dan Pembahasan Untuk Matematika Smp Kelas Ix Kurikulum 2013 Defantri Com : Nov 09, 2020 · merasionalkan bentuk akar biasanya kita lakukan pada bentuk pecahan, karena aturan aljabar mengharuskan kita tidak menggunakan penyebut pecahan dalam bentuk akar."
Posting Komentar untuk "Soal Merasionalkan Bentuk Akar Kelas 9 : Cara Merasionalkan Penyebut Pecahan Dilengkapi Soal Latihan Dan Pembahasan Untuk Matematika Smp Kelas Ix Kurikulum 2013 Defantri Com : Nov 09, 2020 · merasionalkan bentuk akar biasanya kita lakukan pada bentuk pecahan, karena aturan aljabar mengharuskan kita tidak menggunakan penyebut pecahan dalam bentuk akar."